磷矿(磷酸盐岩、磷矿石、磷灰石)是从高磷粘土矿床中开采出来的,经过加工后可用于制作肥料。在开采和加工过程中,测量和监测 P2O5 和 MgO 以及其他主要氧化物 CaO、Al2O3、SiO2 和 Fe2O3 的含量至关重要,以确保产品质量符合所需的物理和化学特性。
对于磷矿元素分析,GB/T35996-2018《磷矿石和磷精矿中八种元素含量的快速测定 X 射线荧光光谱法》规定了使用X射线荧光光谱仪测量磷矿石和磷精矿中的磷、镁、铁、铝、硅、钙、钾、钠八种元素的含量。
理学Rigaku X射线荧光光谱仪NEX QC+,配有触摸屏操作,适合非技术操作员进行在线质量检查,也适合 QA/QC 实验室对元素进行分析。
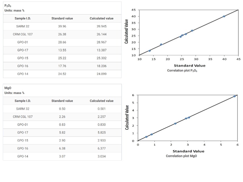
下文使用理学Rigaku X射线荧光光谱仪NEX QC+展示了控制氧化物 P2O5 和 MgO 以及磷矿中其他主要氧化物的测量结果。

为了进行演示,使用一组7种市面上销售的标准品进行经验校准,其中两种校准标准是经过认证的参考材料。对硼酸进行测量,以产生特殊的背景校正,自动补偿每个测量样品中的特定背景量。
控制氧化物校正曲线

其他氧化物
| Oxide | Concentration range |
| CaO | 39 – 55% |
| Fe₂O₃ | 0.1 – 3.5% |
| Al₂O₃ | 0.05 – 1.8% |
| SiO₂ | 0.4 – 21% |
对每个样品在静态位置进行十次重复检验,结果如下所示:

理学Rigaku X射线荧光光谱仪NEX QC+ 可以测量磷矿石中的 P?O?、MgO 和其他主要氧化物,具有良好的灵敏度和重复性,为磷矿开采和加工提供了在线控制和质量检查。